19 年
手机商铺
公司新闻/正文
615 人阅读发布时间:2025-09-05 14:34
大家好,我是本期小编“芯芯”!近日,“基于空间免疫信息的评分系统(TIMES)预测肝癌复发新突破,准确率超过82%”的文章在《Nature》一经发表,就引起了科研界的广泛讨论,下面我们就来详细解读下该文的研究思路。(需要原文的可以给我们留言哦)
文章题目:Spatial immune scoring system predicts hepatocellular carcinoma recurrence
发表期刊:Nature
影响因子:50.5
发表时间:2025.03.12
多组学技术:10x Visium 空间转录组学、蛋白质组学和多重免疫荧光(mIHC)

针对准确预测肝癌复发风险的难题,该研究首次证明免疫细胞的空间分布模式比单纯的基因表达量更能准确预测肝癌复发。不仅开发出全球the first基于空间免疫微环境的预测系统(TIMES 评分),更揭示了 SPON2 蛋白调控肿瘤免疫的 "双重开关" 机制,为肝癌精准治疗开辟全新赛道。
创新突破及应用价值
基于极端梯度提升(XGBoost)和逆方差加权(IVW)开发TIMES评分系统,成功构建了基于空间免疫特征的肝细胞癌复发风险预测平台,首次在临床层面实现了免疫微环境空间架构的定量化评估,为肝癌术后复发风险分层提供了全新的免疫学评估维度。TIMES工具的公开不仅能够帮助临床医生更好地进行患者分层,还为早期HCC的治疗决策提供了新的依据。通过识别高风险复发患者,TIMES工具有助于优化治疗策略,如加强术后监测、辅助治疗或免疫治疗的应用,从而改善患者预后。
研究思路及方法
1. NK细胞的空间分布与HCC复发相关:
通过对61名患者的肿瘤组织【肿瘤侵袭前沿(IF)和肿瘤中心(TC)】进行分析,发现自然杀伤(NK)细胞在IF和TC的空间分布与HCC复发相关。

2. 开发TIMES评分模型:
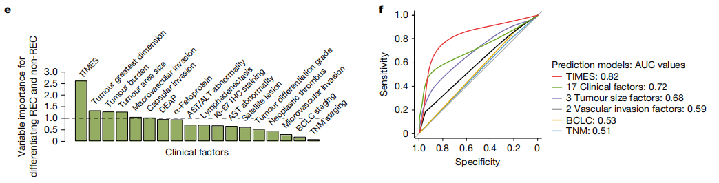
利用XGBoost和IVW方法,基于五种生物标志物(SPON2、ZFP36L2、ZFP36、VIM和HLA-DRB1)的空间表达模式,开发了TIMES评分模型。该模型能够有效预测HCC复发风险,其风险比(HR)高达88.2,且显著优于现有的TNM和BCLC系统。

3. 预测模型验证:
为了探讨TIMES评分在预测HCC复发风险方面是否优于传统的复发相关临床因素,在231例患者的验证队列中将其预后表现与118个临床因素进行了比较。与118个临床因素相比,TIMES评分与DFS的相关性最强。将17个显著的临床因素(单因素回归中的P<0.05)作为协变量进行多因素回归分析,进一步支持了TIMES评分与预后结果的最强相关性。

4. 生物标志物的空间分布:
生物标志物的预测能力主要来源于它们的空间分布模式,而非单个标志物的表达水平。这表明肿瘤微环境的空间异质性在HCC复发中起着关键作用。

5. 机制研究:
通过体内实验(包括NK细胞特异性Spon2敲除小鼠模型),发现SPON2能够增强IFNγ的分泌,并促进NK细胞在IF的浸润。

文章结论
该研究通过整合肿瘤免疫微环境的空间信息,基于5种生物标志物(SPON2、ZFP36L2、ZFP36、VIM和HLA-DRB1)的空间表达模式的时间评分系统来预测HCC的复发风险。该模型不仅具有较高的预测准确性,还揭示了SPON2在HCC复发中的关键作用。
————————————————————————————————————————————————————————————————————————————————————————————————————————
为助力各位老师的科研以及各药企的临床转化,芯超生物近期发布了新品“芯空一号”空间多组学解决方案以及“亚洲一号”类器官及类器官芯片创新解决方案,以期帮助大家走通 “从样本制备->数据挖掘->临床转化"的全链条路径。
芯空一号
利用组织芯片/大组织切片,联合空间多组学技术、人工智能驱动的空间映射算法等创新方案,实现高性价比、高一致性、高维度的空间大数据挖掘与分析范式,是一种“从样本制备到数据挖掘”的全链条解决方案。它能够揭示意想不到的细胞互作关系,相同细胞类型在组织微环境中不同的细胞行为,识别不同的细胞聚集模式,预测疾病的发展。不仅可创新性地发现受空间限制的药物作用新靶标,更能通过建立三维病理特征-分子网络-临床表型的多维关联模型,为精准诊疗提供具有空间可解释性的新型生物标志物体系。

Visium空间转录组测序平台,CosMx™ SMI单细胞空间原位分子成像平台,GeoMx® DSP数字空间组学平台,PCF(PhenoCycler-Fusion)单细胞原位空间蛋白组平台,LCM+质谱-深度空间蛋白组平台,各空间多组学技术具有不同的技术参数,如细胞分辨率、基因覆盖率和通量,我们通过评估各平台的核心性能参数与实验兼容性,结合研究需求(如样本类型、研究规模及目标生物学问题),为研究者提供合理化的技术筛选框架,以实现精准匹配实验设计与平台能力。

亚洲一号

更多内容和详情,可联系芯超当地销售,或拨打热线电话咨询!